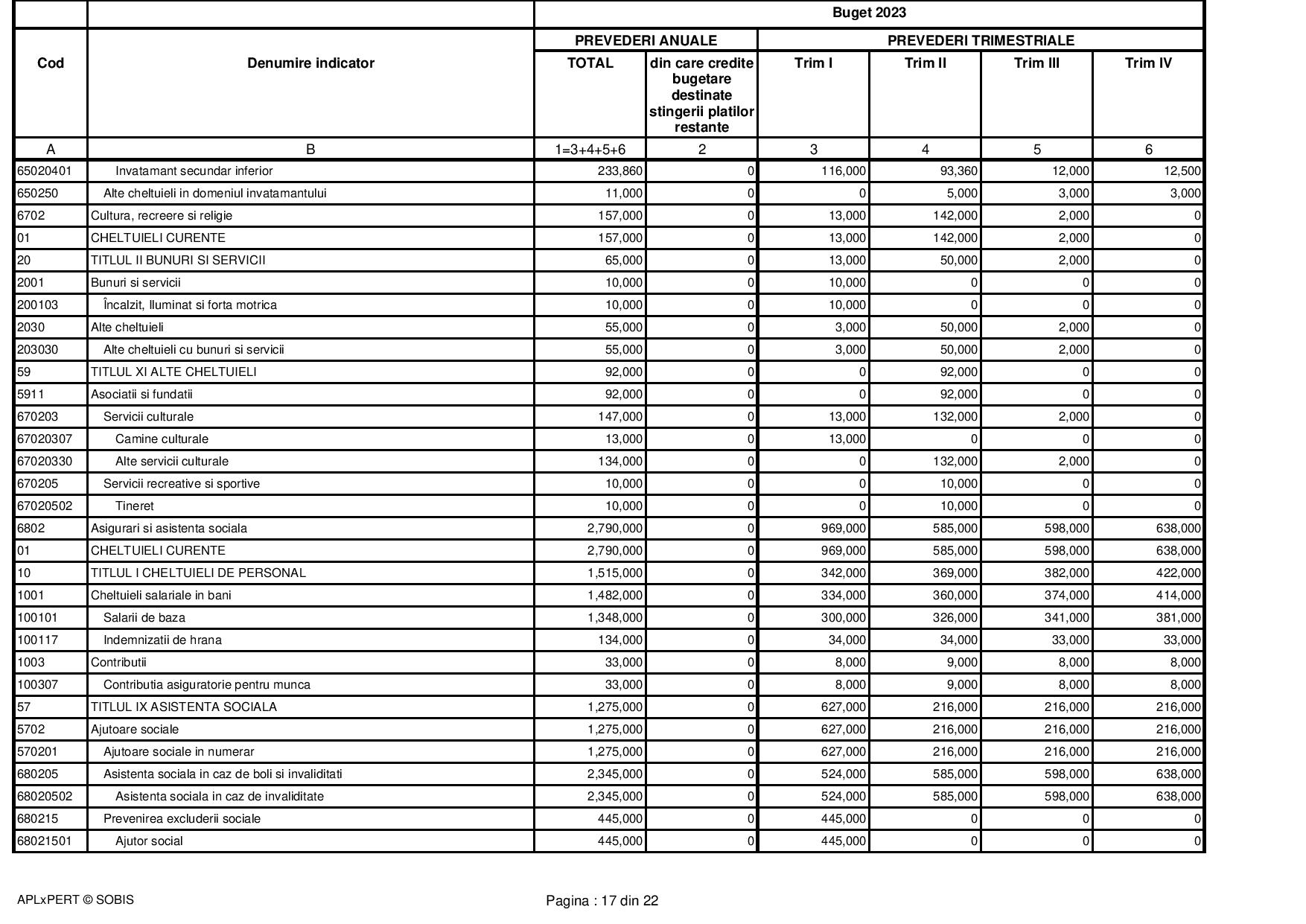
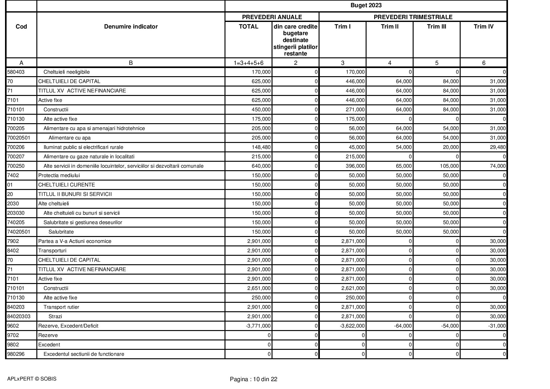
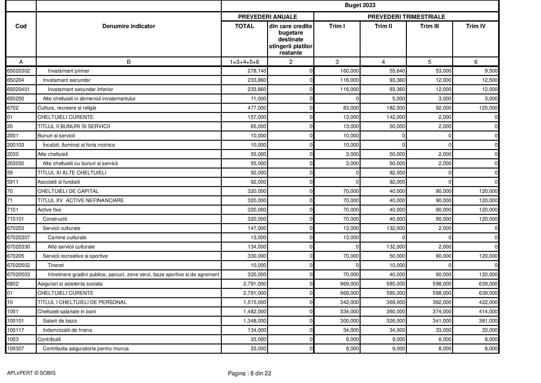
09 ian. Buget final 2023 sursa A Posted at 13:03h in Anunturi, Buget by lacikasimon Descarcare pdf: Buget final 2023 sursa A Print page